对电动机进行无功补偿应注意谐波危害
江钧祥
(安徽省电力试验研究所,安徽 合肥 230022)
摘 要: 通过实例分析说明,在对电动机进行无功补偿时,有可能发生因电动机产生的谐波得到放大,而导致电容器早期损坏的现象。
关键词:电动机;无功补偿;谐波
三相交流异步电动机具有一系列优点,作为动力设备在各行业中获得极广泛的应用,它在运行中依靠磁场传递进行能量转换来工作,不仅消耗有功功率,也需要无功工率。属感性负荷,因此功率因数较低,约为0.76~0.89,一般需要并联电容器进行补偿,以提高功率因数,同时也提高了端电压,有利于电动机的起动。
电动机进行无功补偿具有增容、节能、提高出力等优点,经济效益显著,目前已得到推广应用,但在推广中,对某些可能存在的问题(例如谐波的危害等)并没给予足够的重视与研究,现笔者通过下面实例说明,电动机进行无功补偿时,若条件合适,同样存在因谐波放大而造成的危害,应引起我们的注意。
1 概况
我省境内某抽水站,安装运行3台180kW电动机,由于该站地处电网末端,电压较低,电机经常起动困难,为了提高功率因数和电压,用自愈式并联电容器(电容器回路中未串联电抗器)进行无功补偿,但是当电容器接入电网运行后,时间不长,就出现电容器损坏现象,随着运行时间增加,损坏的电容器越来越多,当时,怀疑电容器质量不良,就更换了电容器,但更后,仍出现同样问题,有关方面才怀疑是否存在其他原因,向我们提出咨询。
我们根据情况进行分析后认为,虽然该站地处农村,附近没有任何谐波源存在,电动机本身一般不作为谐波负荷处理,也没有见到过电动机进行无功补偿后发生谐波危害的报导,但还是不应排除存在谐波危害的可能,应先进行谐波测试与分析。


2 电动机是产生高次谐波电流的谐波源
为了了解系统谐波情况,在低压母线上仅有3台电动机的运行工况时,进行了谐波测试与分析,为便于比较,将测试数据列于表1。
从表1中所列数据可以看到,谐波电流以3次及17次为主,根据测试数据,进行谐波功率计算后可知,3次谐波功率与基波功率方向相反,而17次谐波功率与基波功率方向相反,由此可判断3次谐波电流系由电源的3次谐波电压所产生,而17次谐波电流则由电动机所产生。对其他各次谐波进行计算,即可知16次等部分谐波电流亦由电动机所产生,因此电动机是产生高次谐波电流的谐波源,17次及其他各次谐波注入电网,使电网电压波形畸变,其中17次谐波电压高达4.727%,超过了GB/T14549-1993《电能质量公用电网谐波》中不大于4%的限值,同时也导致电压总谐波率达到5.563%,也超过了不大于5%的规定。 3 无功补偿装置投入后产生了谐波放大现象
在低压母线运行着3台电动机的工况下投入无功补偿装置,对电容器回路进行谐波测试,发现由于谐波放大,通过电容器的高次谐波电流很大,表2中列出了测试数据。
从表2中所列数据不难看出,无功补偿装置投运后,发生了严重的谐波放大现象,其中16次与17次谐波电流已分别达到基波电流的129.2%与237.1%,而自愈式并联电容器国标中规定,包括谐波电流在内的允许过电流为1.3倍额定电流,因此,这时的谐波电流值是相当大的。


同时,电网的电压波形畸变加剧,低压母线电压的16与17次谐波电压含有率,分别由电容器投入前的1.886%与4.727%,增大到6.998%与11.34%,母线电压总畸变率亦由5.563%增大到14.71%,大大超过谐波国标的有关限制值,谐波电压的增大,说明注入电网的谐波电流也相应增大。
谐波电压的增大,将直接影响连接于该母线的各种电气设备的安全运行,资料表明,电动机在较高的谐波电压作用下,将发热烧坏,寿命缩短。
4 电容器早期损坏的原因
4.1 畸变的电压波形使电容器局部放电性能下降
由于谐波的存在,电压波形发生畸变,使电压峰值增高,呈锯齿状尖顶波。图1所示为实侧的电压波形。
一些试验表明,尖顶波电压易在介质中诱发局部放电,而且因电压变化速率快,引起的局部放电强度也较大,这将对电容器绝缘介质的老化起加速作用。
电容器的局部放电性能一般可用起始放电场强与局放熄灭场强两个参数来表征,若局放熄灭场强低于工作场强那么由于操作过电压所诱发的局部放电就可能在工作场强下不能熄灭,而形成长时间的局部放电。
试验表明,当电源电压含有谐波时,电容器的局部放电起始电压和熄灭电压均相应下降,而且当谐波含量较大,谐波次数越高,下降幅值越大。
虽然自愈式并联电容器国标中对局部放电性能未作明确要求,但是局部放电对绝缘介质的影响是客观存在的,长时间的局部放电,必然加速绝缘介质的老化,使其自愈性能恶化,最终导致电容器损坏。
4.2 严重的谐波过电流使电容器损耗功率增加,导致电容器异常发热
在电容器的标准中,允许通过电容器的稳态过电流,应不超过电容器在额定频率,额定正弦电压下产生的电流的1.3倍,这个稳态过电流是由谐波和过电压共同作用的结果。

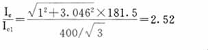
在本次测试中,电压没有超过额定电压,故过电流仅是谐波作用下的结果,现根据实际参数计算其过流情况,根据测试时基波电压为181.5V(相电压)谐波电流为基波电流的304.6%,电容器额定电压400V,三相三角接法,由此可计算得其稳态过电流对额定电流的比值为:

式中:Ie为通过电容器的稳态过电流;
Ie1为电容器在额定频率,额定电压下产生的电流
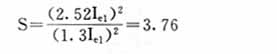
过电流对电容器的影响主要是热效应,而热效应决定于损耗功率的大小,损耗功率与通过的电流平方成正比。
根据电容器允许过电流条件,可计算得实际损耗增加倍率S:

即电容器的实际损耗功率为允许值的3.76倍,因此,在如此大的损耗功率下,电容器将异常发热,必然使其绝缘迅速老化而早期损坏。
5 小结
5.1 电动机会产生高次谐波,用电容器进行无功补偿时,有可能会产生谐波放大现象,对此应引起我们的注意;
5.2 电动机进行无功补偿时,应进行谐波测试与分析,以便采取相应的技术指施,防止谐波危害的发生。
|